About Your Ommaya Reservoir Placement Surgery For Pediatric Patients Memorial Sloan Kettering Cancer Center

About Your Ommaya Reservoir Placement Surgery For Pediatric Patients Memorial Sloan Kettering Cancer Center

Communicable Diseases Module 1 Basic Concepts In The Transmission Of Communicable Diseases View As Single Page

Communicable Diseases Module 1 Basic Concepts In The Transmission Of Communicable Diseases View As Single Page

C W Bill Young Regional Reservoir Lake Details Tampabay Wateratlas Org

C W Bill Young Regional Reservoir Lake Details Tampabay Wateratlas Org

Pdf Hospital Tap Water A Reservoir Of Risk For Health Care Associated Infection

Pdf Hospital Tap Water A Reservoir Of Risk For Health Care Associated Infection

Back To The Reservoir Thresholds

Back To The Reservoir Thresholds

Https Bmcinfectdis Biomedcentral Com Track Pdf 10 1186 S12879 017 2866 Y Pdf

Https Bmcinfectdis Biomedcentral Com Track Pdf 10 1186 S12879 017 2866 Y Pdf

Https Bmcinfectdis Biomedcentral Com Track Pdf 10 1186 S12879 017 2866 Y Pdf

Ijerph Free Full Text Assessment Of Long Term Watershed Management On Reservoir Phosphorus Concentrations And Export Fluxes Html

Ijerph Free Full Text Assessment Of Long Term Watershed Management On Reservoir Phosphorus Concentrations And Export Fluxes Html

Https Www Atsjournals Org Doi Pdf 10 1513 Annalsats 201701 081oc

Https Www Atsjournals Org Doi Pdf 10 1513 Annalsats 201701 081oc

Ijerph Free Full Text Water Pollution Prediction In The Three Gorges Reservoir Area And Countermeasures For Sustainable Development Of The Water Environment Html

Ijerph Free Full Text Water Pollution Prediction In The Three Gorges Reservoir Area And Countermeasures For Sustainable Development Of The Water Environment Html

Chronic Morphine Administration Differentially Modulates Viral Reservoirs In A Simian Immunodeficiency Virus Sivmac251 Infected Rhesus Macaque Model Journal Of Virology

Chronic Morphine Administration Differentially Modulates Viral Reservoirs In A Simian Immunodeficiency Virus Sivmac251 Infected Rhesus Macaque Model Journal Of Virology

Https Bjgp Org Content 27 179 349 Full Pdf

Https Bjgp Org Content 27 179 349 Full Pdf

Bats Are The Primary Reservoir Of An Extensive Variety Of Download Scientific Diagram

Bats Are The Primary Reservoir Of An Extensive Variety Of Download Scientific Diagram

Pdf Bats As Viral Reservoirs

Pdf Bats As Viral Reservoirs

Medard Reservoir Lake Details Tampabay Wateratlas Org

Medard Reservoir Lake Details Tampabay Wateratlas Org

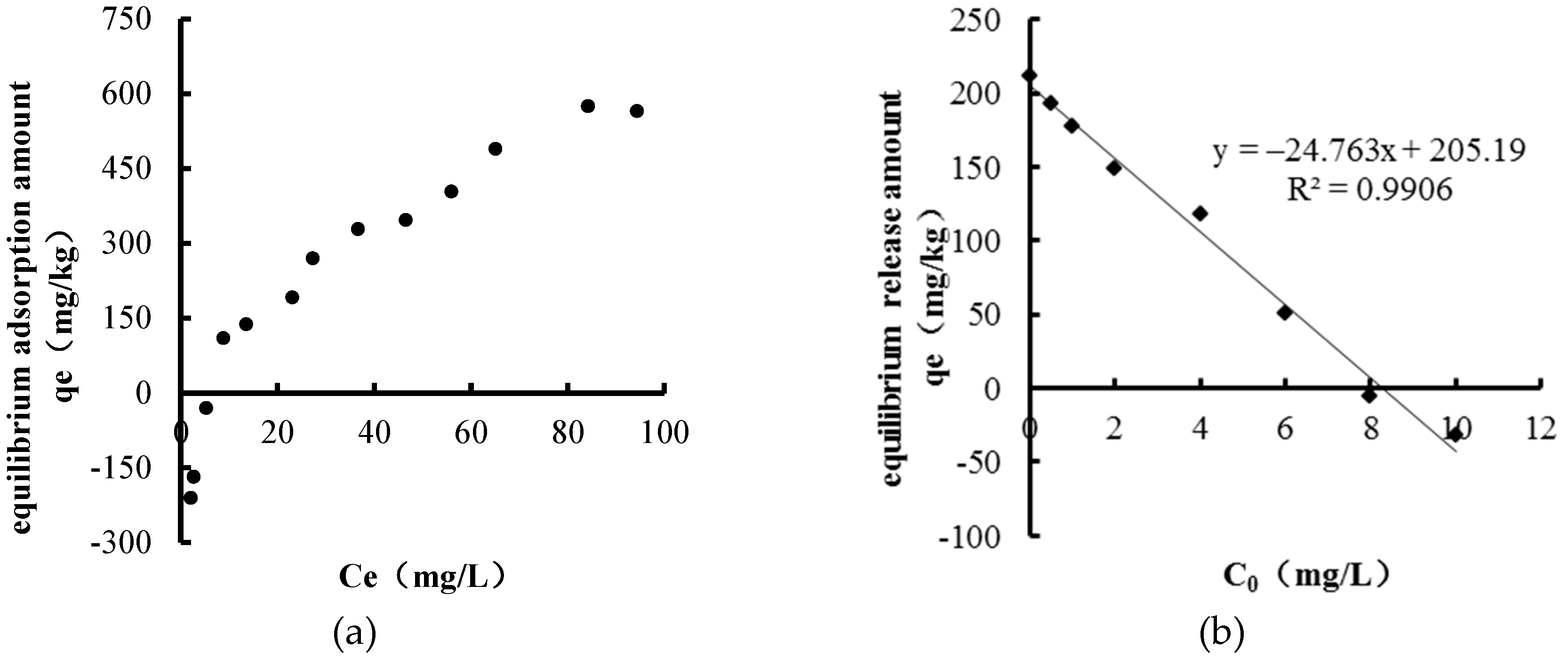
Ijerph Free Full Text Seasonal Release Potential Of Sediments In Reservoirs And Its Impact On Water Quality Assessment Html

Ijerph Free Full Text Seasonal Release Potential Of Sediments In Reservoirs And Its Impact On Water Quality Assessment Html

Https Www Uwec Edu Files 1350 Acha Mono Information Pdf

Https Www Uwec Edu Files 1350 Acha Mono Information Pdf

Pdf Bats Prove To Be Rich Reservoirs For Emerging Viruses

Pdf Bats Prove To Be Rich Reservoirs For Emerging Viruses

Https Www Ebmud Com Index Php Download File Force 7933 2437 Vol I Ebmud Central Reservoir Deir Online Pdf

Https Www Ebmud Com Index Php Download File Force 7933 2437 Vol I Ebmud Central Reservoir Deir Online Pdf

Enrichment Of The Hiv Reservoir In Cd32 Cd4 T Cells Occurs Early In Blood And Tissue Biorxiv

Enrichment Of The Hiv Reservoir In Cd32 Cd4 T Cells Occurs Early In Blood And Tissue Biorxiv

2 Unit No Iii Dynamic Of Disease Community Health Nursing

2 Unit No Iii Dynamic Of Disease Community Health Nursing

Https Www1 Nyc Gov Assets Nyw Downloads Pdf Nyw 2017 Dep Water Report Pdf

Https Www1 Nyc Gov Assets Nyw Downloads Pdf Nyw 2017 Dep Water Report Pdf

Https Www Escondido Org Data Sites 1 Media Pdfs Planning Draft 20ismndlindleytank Complete Pdf

Https Www Escondido Org Data Sites 1 Media Pdfs Planning Draft 20ismndlindleytank Complete Pdf

Pdf Mobile Phone As Potential Reservoirs Of Bacterial Pathogens

Pdf Mobile Phone As Potential Reservoirs Of Bacterial Pathogens

Https Www Usbr Gov Uc Envdocs Ea Navajo Navajoresrmp Fea Pdf

Https Www Usbr Gov Uc Envdocs Ea Navajo Navajoresrmp Fea Pdf

Is Adipose Tissue A Reservoir For Viral Spread Immune Activation And Cytokine Amplification In Coronavirus Disease 2019 Ryan 2020 Obesity Wiley Online Library

Is Adipose Tissue A Reservoir For Viral Spread Immune Activation And Cytokine Amplification In Coronavirus Disease 2019 Ryan 2020 Obesity Wiley Online Library

The Battle Against Sars And Mers Coronaviruses Reservoirs And Animal Models Gong 2018 Animal Models And Experimental Medicine Wiley Online Library

The Battle Against Sars And Mers Coronaviruses Reservoirs And Animal Models Gong 2018 Animal Models And Experimental Medicine Wiley Online Library

Pdf A Review Of Studies On Animai Reservoirs Of The Sars Coronavirus

Pdf A Review Of Studies On Animai Reservoirs Of The Sars Coronavirus

Https Academic Oup Com Jaoac Article Pdf 101 4 1127 32427230 Jaoac1127 Pdf

Https Academic Oup Com Jaoac Article Pdf 101 4 1127 32427230 Jaoac1127 Pdf

Pdf Mechanical Transmission Of Pathogenic Organisms The Role Of Cockroaches

Pdf Mechanical Transmission Of Pathogenic Organisms The Role Of Cockroaches

Https Academic Oup Com Jid Article Pdf 220 9 1489 30061969 Jiz339 Pdf

Https Academic Oup Com Jid Article Pdf 220 9 1489 30061969 Jiz339 Pdf

Pdf Review Of Lassa Fever An Emerging Old World Haemorrhagic Viral Disease In Sub Saharan Africa

Pdf Review Of Lassa Fever An Emerging Old World Haemorrhagic Viral Disease In Sub Saharan Africa

Public Health Advisory Archives Southwest District Health

Public Health Advisory Archives Southwest District Health

No Touching The Water At Woodward Reservoir After Labor Day Modesto Bee

No Touching The Water At Woodward Reservoir After Labor Day Modesto Bee

Jerome Park Reservoir Renovation Raises Concerns About Access The Meridian

Jerome Park Reservoir Renovation Raises Concerns About Access The Meridian

Walsingham Reservoir Lake Details Tampabay Wateratlas Org

Walsingham Reservoir Lake Details Tampabay Wateratlas Org

10 000 Trees Could Be Chopped Down At Macclesfield Beauty Spot To Fight Killer Plant Disease Cheshire Live

10 000 Trees Could Be Chopped Down At Macclesfield Beauty Spot To Fight Killer Plant Disease Cheshire Live

Shell Creek Reservoir Lake Details Chnep Wateratlas Org

Shell Creek Reservoir Lake Details Chnep Wateratlas Org

There Are Underwater Ghost Towns Hiding Beneath Quabbin Reservoir In Massachusetts Abandoned Places Eerie Places Scary Places

There Are Underwater Ghost Towns Hiding Beneath Quabbin Reservoir In Massachusetts Abandoned Places Eerie Places Scary Places

The Key Reservoirs And Mode Of Transmission Of Coronaviruses Suspected Download Scientific Diagram

The Key Reservoirs And Mode Of Transmission Of Coronaviruses Suspected Download Scientific Diagram

Debilitating Often Fatal Fungal Disease Discovered In Region S Wild Porcupines New Hampshire Agricultural Experiment Station

Debilitating Often Fatal Fungal Disease Discovered In Region S Wild Porcupines New Hampshire Agricultural Experiment Station