Petrol Pump Attendant Jobs In Dubai Uae Oil Jobs Online Jobs Company Job

Petrol Pump Attendant Jobs In Dubai Uae Oil Jobs Online Jobs Company Job

Valid Sample Of Application Job Letter You Can Download For Full Letter Resume Template Here Http Newspb Or Job Cover Letter Job Letter Application Letters

Valid Sample Of Application Job Letter You Can Download For Full Letter Resume Template Here Http Newspb Or Job Cover Letter Job Letter Application Letters

Monthly Employee Duty Roster Format Excel Roster Excel Employee

Monthly Employee Duty Roster Format Excel Roster Excel Employee

Pin On Design Resources Behance

Pin On Design Resources Behance

189 Attractive Perfume Store Slogans And Taglines Thebrandboy Perfume Store Perfume Names Perfume

189 Attractive Perfume Store Slogans And Taglines Thebrandboy Perfume Store Perfume Names Perfume

Professional Resume Template Compact 1 Page Resume Template Etsy One Page Resume Template One Page Resume Resume Template Professional

Professional Resume Template Compact 1 Page Resume Template Etsy One Page Resume Template One Page Resume Resume Template Professional

Professional Resume Template Compact 1 Page Resume Template Etsy One Page Resume Template One Page Resume Resume Template Professional

Online Job Application Tips Online Job Applications Job Application Onboarding

Online Job Application Tips Online Job Applications Job Application Onboarding

At Wattsup Solar We Don T Do Cheap You Get What You Pay For We Believe In Selling Quality Systems Tha Solar Power Solar Installation Solar Panel Installation

At Wattsup Solar We Don T Do Cheap You Get What You Pay For We Believe In Selling Quality Systems Tha Solar Power Solar Installation Solar Panel Installation

The Society Of Professional Journalists Has Unveiled Its Guide For Freelance Journalists Edited By David Sheets The 77 Page Freelance Writing Jobs Journalist

The Society Of Professional Journalists Has Unveiled Its Guide For Freelance Journalists Edited By David Sheets The 77 Page Freelance Writing Jobs Journalist

Facebook Adds Nielsen Dmas Dayparting To Target Rating Point Buying Facebook Video Ads Video Ads Facebook Video

Facebook Adds Nielsen Dmas Dayparting To Target Rating Point Buying Facebook Video Ads Video Ads Facebook Video

Pin On Contact Page Web Design

Pin On Contact Page Web Design

Modern Resume Template For Word Mac Pages Professional 1 Etsy Modern Resume Template Resume Design Template Resume Templates

Modern Resume Template For Word Mac Pages Professional 1 Etsy Modern Resume Template Resume Design Template Resume Templates

تحميل برنامج استعادة الملفات المحذوفة للكمبيوتر Data Recovery Data Backup Recovery

تحميل برنامج استعادة الملفات المحذوفة للكمبيوتر Data Recovery Data Backup Recovery

Pin On Web

Pin On Web

Pin On Habari Za Teknolojia

Pin On Habari Za Teknolojia

Notice Period Jobs Serving Notice Period Job Search It Jobs Data Science Digital Marketing Marketing Services

Notice Period Jobs Serving Notice Period Job Search It Jobs Data Science Digital Marketing Marketing Services

Download Pdf Mastering Microsoft Teams End User Guide To Practical Usage Collaboration And Governance Free E Learning Microsoft User Guide One Note Microsoft

Download Pdf Mastering Microsoft Teams End User Guide To Practical Usage Collaboration And Governance Free E Learning Microsoft User Guide One Note Microsoft

How To Get My Zenith Bank Statement Of Account Online Banking App Online Banking Web Banking

How To Get My Zenith Bank Statement Of Account Online Banking App Online Banking Web Banking

Microsoft Edge Logo Edge Logo Microsoft Logos

Microsoft Edge Logo Edge Logo Microsoft Logos

Facebook Redesign Profile Detail Photo And Video Friend Photos Plant Leaves

Facebook Redesign Profile Detail Photo And Video Friend Photos Plant Leaves

Forex Strategy Scalping Forex Strategy Trading Forex

Forex Strategy Scalping Forex Strategy Trading Forex

Steve Jobs Almost Named The Imac The Macman Until This Guy Stopped Him Steve Jobs Effective Branding Imac

Steve Jobs Almost Named The Imac The Macman Until This Guy Stopped Him Steve Jobs Effective Branding Imac

Sample Cover Letters Sample Cover Cover Letter Social Career

Sample Cover Letters Sample Cover Cover Letter Social Career

3

3

A Few Updates To Planner Integration In Microsoft Teams Microsoft Planner Teams

A Few Updates To Planner Integration In Microsoft Teams Microsoft Planner Teams

Facebook Ads Manager Charts Google Search Facebook Business Create Ads Facebook Ads Manager

Facebook Ads Manager Charts Google Search Facebook Business Create Ads Facebook Ads Manager

Pin On Plumbing Fittings

Pin On Plumbing Fittings

Essay Essaytips Freelance Content Writer Guidelines For Writing Research Proposals And Dissertat Essay Writing Examples Essay Writing College Essay Examples

Essay Essaytips Freelance Content Writer Guidelines For Writing Research Proposals And Dissertat Essay Writing Examples Essay Writing College Essay Examples

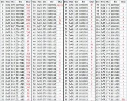
Ascii Cheat Sheet Good Coders Code Great Reuse Cheat Sheets Cheating About Me Blog

Ascii Cheat Sheet Good Coders Code Great Reuse Cheat Sheets Cheating About Me Blog

Pin On Ideas

Pin On Ideas

Resume Samples And How To Write A Resume Resume Companion Acting Resume Acting Resume Template Sample Resume Cover Letter

Resume Samples And How To Write A Resume Resume Companion Acting Resume Acting Resume Template Sample Resume Cover Letter

Quickbooks Error 6073 How To Resolve It Currace In 2020 Quickbooks Financial Institutions Shared Folder

Quickbooks Error 6073 How To Resolve It Currace In 2020 Quickbooks Financial Institutions Shared Folder

Petter Pentila On Instagram 404 Page Not Found Use Framesequence To Get Reposted On My Story Edit Alright I Changed Ethernet Cable Story Alright

Petter Pentila On Instagram 404 Page Not Found Use Framesequence To Get Reposted On My Story Edit Alright I Changed Ethernet Cable Story Alright

Jasper Green Car Kit Green Car Green Jeep Car

Jasper Green Car Kit Green Car Green Jeep Car

Pin On The Black Notebook Planners

Pin On The Black Notebook Planners

Athabasca Falls Canyon In Jasper National Park Alberta Canada Cool Places To Visit Places To Travel Canada Travel

Athabasca Falls Canyon In Jasper National Park Alberta Canada Cool Places To Visit Places To Travel Canada Travel

9 Steven Universe Cross Stitch Patterns Crystal Gems Digital Etsy In 2021 Cross Stitch Patterns Cross Stitch Stitch Patterns

9 Steven Universe Cross Stitch Patterns Crystal Gems Digital Etsy In 2021 Cross Stitch Patterns Cross Stitch Stitch Patterns

Ireport Dynamically Changing Font Size Variable Expression Fonts Learning

Ireport Dynamically Changing Font Size Variable Expression Fonts Learning

52 How To Add A Search Box To A Slicer In Excel Youtube Excel Tutorials Excel Spreadsheets Excel Formula

52 How To Add A Search Box To A Slicer In Excel Youtube Excel Tutorials Excel Spreadsheets Excel Formula